最近做项目时,使用 R语言对一些数据做回归计算,分析数据时,想查看这堆数据的相关性,得知R-squared可以得到我想要的信息,但是在打印线性关系式时,看到了R-squared,Adjust R-squared 这两个参数,有点疑惑,上网也查看了一部分资料,最后,发现有两道题可以很明白解释这两个参数,如下:
如果在线性回归模型中增加一个特征变量,下列可能发生的是(多选)?
A. R-squared 增大,Adjust R-squared 增大
B. R-squared 增大,Adjust R-squared 减小
C. R-squared 减小,Adjust R-squared 减小
D. R-squared 减小,Adjust R-squared 增大
答案:AB
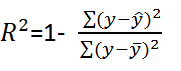
**解析:**线性回归问题中,R-Squared 是用来衡量回归方程与真实样本输出之间的相似程度。其表达式如下所示

上式中,分子部分表示真实值与预测值的平方差之和,类似于均方差 MSE;分母部分表示真实值与均值的平方差之和,类似于方差 Var。一般来说,R-Squared 越大,表示模型拟合效果越好。R-Squared 反映的是大概有多准,因为,随着样本数量的增加,R-Squared 必然增加,无法真正定量说明准确程度,只能大概定量。
单独看 R-Squared,并不能推断出增加的特征是否有意义。通常来说,增加一个特征特征,R-Squared 可能变大也可能保持不变,两者不一定呈正相关。
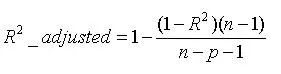
如果使用校正决定系数(Adjusted R-Squared):

其中,n 是样本数量,p 是特征数量。Adjusted R-Squared 抵消样本数量对 R-Squared 的影响,做到了真正的 0~1,越大越好。
增加一个特征变量,如果这个特征有意义,Adjusted R-Square 就会增大,若这个特征是冗余特征,Adjusted R-Squared 就会减小。
在一个线性回归问题中,我们使用 R 平方(R-Squared)来判断拟合度。此时,如果增加一个特征,模型不变,则下面说法正确的是?
A. 如果 R-Squared 增加,则这个特征有意义
B. 如果R-Squared 减小,则这个特征没有意义
C. 仅看 R-Squared 单一变量,无法确定这个特征是否有意义。
D. 以上说法都不对
答案:C
解析: 看题一解析