R小白几天的摸索
红色为输入,蓝色为输出
输入数据
先把数据用excel保存为csv格式放在”我的文档”文件夹

打开R软件,不用新建,直接写

回归计算

求三个平方和

置信区间(95%)

散点图(最显著的因变量)


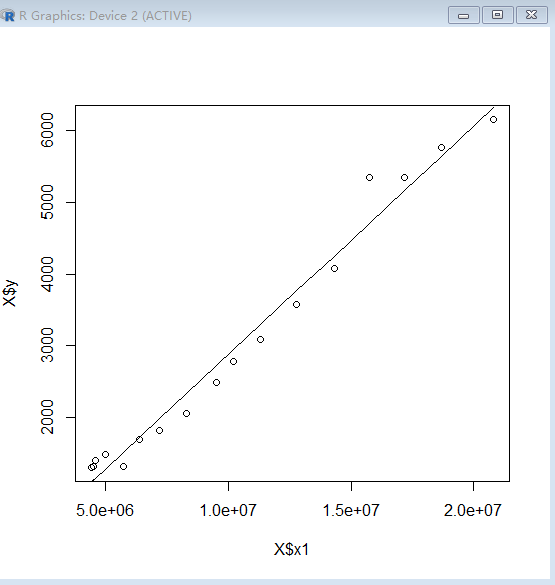
拟合图

一元线性回归

结果:(看图)
变量系数 Estimate
变量系数标准误 Std. Error
T检验值 t value
T检验p值 Pr(>|t|)
均方根误差 Residual standard error
判定系数 R-squared
调整判定系数 Adjusted R-squared
F检验值 F-statistic
F检验p值 p-value
总体平方和 SST
残差平方和 SSR
解释平方和 SSE
置信区间
总结