电脑核心CPU的运算原理是什么?值得一看
发布时间:2019-12-04 14:54:17    作者:奥威亚

不懂电子元件的码农我要强答一发了。太学术的我不会,你们也听不懂。所以臭不要脸非常不严谨地科普一记。说错不许打我。
另外关于这个问题,推荐《编码 (豆瓣)》这本书,挺薄的。当《十万个为什么》看,好奇的同学一晚上就能搞明白。

第一季 继电器

先不要扯什么图灵,冯诺依曼这些先贤。因为他们都太遥远。计算机一切计算的源头其实是源自一个非常非常中二的东西:“继电器(Relay)”。继电器是什么鬼?看下图,

电脑核心CPU的运算原理是什么?值得一看

 

其实就是一个线圈利用电磁感应做成的电磁铁。原理和“电报机”一样,当开关闭合,黄色电路通电,线圈是金属棒变成磁铁,吸引中间的小开关(Anker),接通右边灰色的电路,点亮灯泡。

电脑核心CPU的运算原理是什么?值得一看

 

简单说,就是你在家一按开关,隔壁老王家的灯亮了。

第二季 “反相器”和“非门”

为什么说继电器是个很中二的东西?因为这不就是开关吗?我按了它才亮,不按绝对不亮。但CPU真就是这货发展而来的。它的变种就开始好玩了。最简单的一个变种,就是“反继电器”,或者叫“反相器(Inverter)”。就是隔壁老王家的灯本来是亮着的,我手上的开关一按,灯就灭了。

电脑核心CPU的运算原理是什么?值得一看

 

"反相器"到了现代计算机里,就叫做“非门(NOT Gate)”。本来开关T1是接通的,Output是1(5V高位电平)。一旦闭合开关T1,电路中断,输出变为0(1V低位电平)。

电脑核心CPU的运算原理是什么?值得一看

 

“非门”用下面这个符号表示。简单说,就是输出永远和输入是反的,输入1,输出就是0。输入0,输出就是1。

电脑核心CPU的运算原理是什么?值得一看

 

第三季 逻辑门家族

和“非门”一样,我们能得到一堆其他特性的门。比如,“与门(AND Gate)”,就是两个开关串联。必须两个开关同时闭合,灯泡才能亮。

电脑核心CPU的运算原理是什么?值得一看

 


“或门(OR Gate)”,两个开关并联,只要其中一个开关闭合,灯泡就会亮。

电脑核心CPU的运算原理是什么?值得一看

 


长话短说,下图是所能得到的几个基本“逻辑门(Logic Gates)”

电脑核心CPU的运算原理是什么?值得一看

 


虽然看上去比较复杂,但“逻辑门”在本质上和之前讲的“继电器”都是“控制电路”。或者说都是我手里握着控制老王家花式吊灯的各种开关。老王一定很郁闷。

第四季 逻辑

逻辑门虽然被我说得很淳朴,就是控制隔壁老王家吊灯的开关。但其中却可能蕴含着人类大脑,甚至是这个世界终极奥义的一部分:逻辑(Logic)。这也是为什么它被叫做逻辑门。

爱因斯坦曾说过:

世界上最不可思议的事情,就是这个世界是可以被“理解”的。

简直是细思极恐有木有!最简单的例子,亚里士多德给出的经典“Barbara”三段论

如果所有人(M)都是必死的(P),(大前提)
并且所有希腊人(S)都是人(M),(小前提)
那么所有希腊人(S)都是必死的(P)。(结论)

数学上,一个形式系統(Formal system)的野心就是想通过一组公理,和逻辑推理过程,来描述和证明我们的客观世界。说到这里我们计算机的祖师爷们就都出来了:莱布尼兹,康托尔,布尔,图灵,等等等等。著名的图灵机就是在这个议题的争论中无心插柳的副产品。这个主题无法展开。感兴趣推荐看《逻辑的引擎 (豆瓣)》这本书。这里只举一个最简单的“布尔代数(Boolean algebra)”的例子:

我喜欢(长头发)的(不是)(蛇精脸)的女生

用布尔代数来表示就是:

长头发 AND ( NOT 蛇精脸)

说到这里,是不是和前面说的逻辑门联系起来了?

第五季 逻辑电路

但是逻辑是逻辑,继电器是继电器,就算上面的花式继电器也是继电器。把逻辑和继电器联系起来的是一位不得不提的大师,克劳德·艾尔伍德·香农Claude Elwood Shannon)和他的那篇史上最牛硕士论文:《继电器与开关电路的符号分析》。绝对最牛,没有之一!

还是之前那个例子:

我喜欢(长头发)的(不是)(蛇精脸)的女生

如果:

A代表:长头发
B代表:蛇精脸

那我喜欢的女生就可以写成一个布尔函数:

电脑核心CPU的运算原理是什么?值得一看

 

把一个逻辑命题用符号写成一个公式有什么用呢?那是因为这样就可以很方便地转换成一个“逻辑表决器”,如下图。

电脑核心CPU的运算原理是什么?值得一看

 


原理很简单,当A=1时,纵向的A总线为1。当A=0时,

电脑核心CPU的运算原理是什么?值得一看

 

总线输出1。B也是如此。最后的输出线搭在A总线和

电脑核心CPU的运算原理是什么?值得一看

 

总线上,用个与门连接。所以只有当A的输入为1,B的输入为0时,Out才为1,代表我能接受这个女孩。不信大家可以人肉推演一下。

理论上任何布尔函数,都能转换成上面这样的表决器。就好像电路有了人类逻辑思考的能力。

第六季 “图灵机”和“累加器”

总算要说到计算机的祖师爷图灵(Turing)了。图灵机模型,相比上面说到的逻辑电路,要多一个“存储器”。因为根据图灵机模拟人类计算时大脑的工作状态的模型,人类的任何计算都可以抽象成一个机械化的过程。

考虑5+7=12这个加法。5加7等于12,写下2,然后心中默记产生一个进位。最终写成12。

 5
 + 7
-----
 12

换成二进制,是一个道理,

 0000 0101
 + 0000 0111
-------------
 0000 1100

其中每一位的加法还是能分解成两个动作:

同一位的两个数字相加
如果当前位结果大于1,则向前进一位

第一个动作可能的结果(真值表)有:

0 XOR 0=0
1 XOR 0=1
0 XOR 1=1
1 XOR 1=0

这个真值表和一个简单的“异或门”是一致的。

第二步进位,只有1+1才需要进位1,所以真值表如下:

0 AND 0=0
1 AND 0=0
0 AND 1=0
1 AND 1=1

这和“与门”的真值表是一致的。

所以把一个“异或门”和一个“与门”组合到一起,就构成了一个“一位半加器”

电脑核心CPU的运算原理是什么?值得一看

 


但事实上一位半加器只适用于末位数的加法。高位的二进制加法需要考虑3个输入,就是还需要额外考虑上一位得到的进位。这个过程可以用两个半加器来完成。

电脑核心CPU的运算原理是什么?值得一看

 

两个半加器组合起来,构成一个完整的“一位全加器”

把8个这样的一位全加器组合起来,就构成了一个“八位全加器”

电脑核心CPU的运算原理是什么?值得一看

 

从最末尾开始相加,刚才的5+7:

0000 0101 + 0000 0111

反过来就变成:

 1010 0000
 + 1110 0000
-------------
 0011 0000

把最初的进位c_in设为0,得到的结果反过来就是:0000 1100 = 12

至此,计算机好像拥有了人脑的部分智能。既然一组逻辑门,能计算加法,就一定能做减法,乘法,除法,和其他计算。

第六季 寄存器

加减乘除远远不是逻辑门能做的全部事情。实际上电脑里出了硬盘,风扇,电池,其他几乎全是由逻辑电路和逻辑门组成的,包括我们说的内存。说内存先要说一下寄存器。这东西我觉得是比CPU更神奇的一个东西。绝对是一大黑魔法。用几个简单的逻辑门,就能在不断电的情况下一直”记住“上次的输入值。

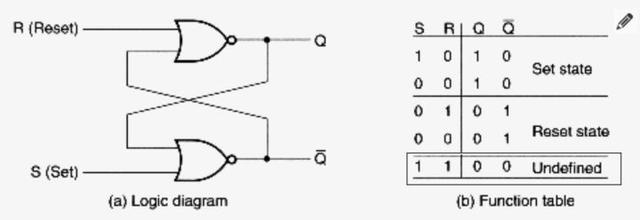
最简单的储存部件叫“SR锁存器(Latch)”。其实就是两个“或非门”。

电脑核心CPU的运算原理是什么?值得一看

 

再看一眼或非门的真值表:只有两个输入都为0,才输出1。

0 NOR 0 = 1
1 NOR 0 = 0
0 NOR 1 = 0
1 NOR 1 = 0

其中具体电流怎么通过互相博弈达到稳态的细节就不展开了。总之这个黑科技的最终效果就是:

假设初始状态都是零:S=0, R=0。输出Q=0,=0
当S端给个信号1,输出Q=1,=0
当S端变回信号0,输出还是保持Q=1,=0

也就是说,这个元件记住了之前S端的输入1。直到我们把R端设为1,输出Q才变回0。

虽然这个SR锁存器离我们真实的“RAM内存”还很遥远。但让逻辑门产生“记忆”的核心逻辑稳态锁就是这么简单的两个或非门。

当我们把SR锁存器的两个输入端捏合成一个D输入端,再加上一个由时钟信号控制端E,就得到一个更高级的“时序D锁存器”。如果不想头痛,只要记住这是一个能在时钟开关E打开的情况下,记住D输入端进来的信号的装置。之后我们一直可以从Q端得到之前D端的值。

电脑核心CPU的运算原理是什么?值得一看

 


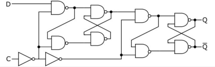
如果再复杂一点,把两个相反的时序D锁存器组合在一起,就能构成一个“D触发器(D Flip Flop)”

电脑核心CPU的运算原理是什么?值得一看

 


触发器和之前的锁存器的区别是,只有当时钟信号处在上升沿(从1V向5V跃迁)的一瞬间,D端的输入值才能写入触发器。并在随后的时间内,只要没有新的D输入写入,Q一直保持这个值。

D触发器离我们的内存就没那么远了。只要再套上一个用于寻址的“解码器”和之前说过的“选择器”,就能实现从特定一组触发器中读取数据的效果啦。

所以我们都知道CPU需要时钟来同步时序电路。但这个晶振时钟并不是像想象的那样直接作用在ALU(逻辑运算单元)上,而是通过寄存器来实现时序控制。感兴趣的可以看这个回答:为什么CPU需要时钟才能工作? - 胖胖的回答

第七季 硬件 V.s. 软件

虽然,几乎所有计算都能设计出一个专门的逻辑运算器。但这样做似乎并不明智,否则逻辑部件的数量将以指数级增长。一个合理的方案,应该是用硬件实现部分必须的基础计算功能,然后已软件的方式,利用基础计算单元,完成复杂计算。

就好像做乘法,不需要设计一个专门的“乘法器”,而是重复多次加法运算即可。这里就是所谓软件开始介入的地方。也就是所谓的“算法”开始放发挥作用,虽然并不是硬件无法胜任这项工作,而是把复杂性交给软件来处理似乎更合理。

从此,在硬件这棵树上,开出了软件这朵花。也就有了”程序员“这个严重伤害颈椎和腰椎的职业。