承接上篇文章何为虫洞?能让我们穿越时空吗?
何为穿越时空?实际上这是一个很好理解的概念,日常生活中我们都知道时间是一去不复返的,而且是平稳流淌的,也就意味着你不可能瞬间来到未来,比如一年后、十年后等等,同样的道理,一年前、十年前等,你也不可能抵达。

而穿越时空则是打破上述禁忌,尤其是在当年狭义相对论问世之后,爱因斯坦统一了原先互不相干的空间和时间两个概念,认为二者实际上是一个整体,正是如此,时间似乎具备了可通过人为改变的属性。
但可能正是上述的想法深入人心,导致了很多人在关于时间流逝这方面出现了不少错误的理解,先以传播最为广泛的狭义相对论为例子。
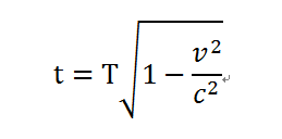
在狭义相对论中,一个物体自身的时间是与速度相关联的,比方说一个物体内部存在一块钟表,在物体移动后,体内的钟表走动的速率相比于原先静止时的速率要来的慢。二者的具体关系如下图数学式所示:

其中,T代表的静止状态下钟表的走时,而t代表的是运动状态下钟表的走时,c代表的真空光速(约每秒30万公里),v代表是物体速度,在这里还需要着重强调一点,v代表的速度是一个相对速度而非绝对速度,比方说地面观察者认为奔跑的汽车在动,自己没动,而汽车观察者同样可以认为地面观察者在动,而自己没动。
通过一些数值的带入,我们可以发现当速度v从小到大越来越接近光速时,运动状态下的钟表走时将会异常的缓慢,甚至逼近于停滞,这也就意味着运动物体自身的时间相对于静止观察者的时间是不一致的,随着运动速度的攀升,二者的时间差将会越来越大。
需要注意一点的是:在这里很多朋友会对“钟表的走时快慢”产生理解偏差,他们会认为钟表的快慢归结与钟表自身的问题,比如机械、电路等等,但实际上我们之所以用钟表来代表时间,完全是为了更好更直观的理解问题而做出的假设,如果不考虑这些,其实是可以直接用“某某时间”一词来表述的,或者说你可以将一切可以被当做计时工具的物体(甚至于人类自身就可以当做计时工具)放到相应运动状态下。
因为对于一个运动者来说,当它在经历过高速移动后,停下来时,它会发现地球上早已物是人非,很可能是它自身内部的时间才过去了一年,而地球上却过去了十年,甚至百年。这一切精准的计算结果,都可以由上述的公式导出。

然而意外的是,有些朋友走的更远,它们将运动速度提升到光速以上,这样一来,根号项直接变成了虚数(根号内数值为负数),这本是一件无意义的事,是被排除在狭义相对论之外的,但这些朋友在考虑到先前的“速度越接近光速,时间越慢”的规律后,很自然的认为,一旦超光速后,时间就会倒流,于是乎“超光速会导致时间倒流”的说法就肆意泛滥开来,毕竟这样的结果是很受人待见,谁没个后悔事呢?如果哪天真能回到过去,岂不美哉!
然而我们只能说,只能在梦里美哉了,光速不可超越,在狭义相对论中是一条没法打破的定律,毕竟狭义相对论的光速不变原理就告诉我们:真空光速在任意惯性系下是保持不变的,因而光速c是作为一个常量存在的,而根号内数值不为负的数学法则告诉我们,运动物体的速度不可超越光速。所以如果你在狭义相对论中出现超过光速的速度,那么很遗憾,你借此所想出来的任何结论都是没有依据的。

当然了,对于物体不可超光速的解释,还有很多,比如说利用物体在运动时会产生动质量的特性,意味着物体的每一次加速都会比上一次次消耗更多的能量,而当速度接近光速时,消耗的能量将会以无穷的用量存在。当然了,关于动质量这一物理概念,虽然在后面的相对论发展中,被逐步的淘汰掉了,但我们仍然可以从能量角度去理解这个问题。
实际上,关于光速不可超越最好的解释是从因果律出发,一旦物体拥有超光速的速度时,就会产生违背因果律的事情,而因果律作为一个人类千百年来所默认的法则,在相对论这块领域内,依然拥有绝对分量,所以超光速是不存在,更加详细的解释可以看之前写的这篇文章一文读懂,因果律是如何阻止了超光速现象的出现。

也就是说,狭义相对论并不支持“回到过去”这一“美好”愿望,但所幸的是抵达更遥远的未来却是可行的。这一点在上述的例子中已经说明,运动物体的时间相对于静止者(或者是两者有一个相对速度存在即可),其时间流速要比静止者慢,那么也就是说当运动者停止时,再次与静止者回归到一个惯性系下,运动者会发现自己原先所在的世界已经“面目全非”,也就是来到了遥远未来。
通过上面的介绍,我们已经认识到回到过去在狭义相对论中是不可行的,并不是因为光速不可超越的关系,而是狭义相对论本身的理论框架就并不支持此种穿越的存在。既然我们没法在狭义相对论当中找到突破,那么广义相对论又是如何呢?
上一篇:何为虫洞?能让我们穿越时空吗?
下一篇:美国FDA批准家庭新冠病毒测试包