区块链的起源
说到区块链,不得不提及比特币,2008年金融危机时,一个叫中本聪的人,在某网站上发布了比特币白皮书《比特币:一种点对点的电子现金系统》。
他提出了一种全新的电子化支付思路——建立完全通过点对点技术实现的电子现金系统,从而创建一种全新的去中心化的点对点交易模式。
点对点支付
2009 年11 月 3 日比特币正式问世,该系统正式运行,比特币区块链中的第一个区块诞生,该区块又名“创世区块”。
这种新型的、去中心化的数字货币在最初问世时虽未引起轩然大波,仅仅在电子货币行业因其创新性的设计得到了业内资深人士的认可,但随着人们的深入研究与比特币的应用。比特币与其底层技术区块链,开始展现出超乎想象的影响力。
从问世至2017年,短短不到10年时间,比特币便从最初单枚价值不到1美分,攀升至迄今为止最高纪录的19850美元。
比特币价格
如此暴涨市场价值的背后,意义何在?一切直指比特币的底层技术——区块链。
区块链是什么?
人民日报给出的解释是:区块链是一种去中心化的分布式账本数据库,本质上是一种数据库技术,每个区块就像是一个硬盘,把信息全部保存下来,再通过密码学技术进行加密,这些保存信息就无法被篡改。
维基百科从功能和工作流程方面对区块链作了定义:是一串使用密码学方法相关联产生的数据块,每一个数据块中包含了一次比特币网络交易的信息,用于验证信息的有效性并生成下一个区块。
用更通俗的解释来说,区块链就是一个分布式大账本。即原本掌握在拥有唯一记账权人手中的大账本,现在人手一本,人人都有权参与记账过程,避免了原本因为过于集中的记账权,而导致产生的一些人为改变账本数据的问题
区块链的4大特征
区块链作为被赋予超值期望的新兴技术,拥有以下4个显著特征:
1.去中心化
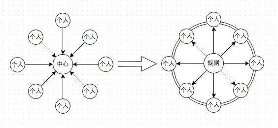
我们传统的交易方式,往往依赖于第三方可信机构的中央数据库进行彼此身份、信息确认,从而开展交易。交易过程中,我们的用户数据、个人信息、交易记录,均会被这个具有唯一记账权的中心化大账本随意存储并分析。
而区块链技术就是一个由世界范围内,成千上万台电脑组成的分布式账本,即接入的每一台电脑设备均为一个账本。在区块链这个系统中,每一个交易动作都会在全网广播,并被这些分布在世界范围内的各个账本进行验证、传递和管理记录。
区块链通过分布式数据存储的“大账本”,构建了一个去中心化的数据库。在这里我们可以说:区块链技术创造了一种新的记账方式——分布式记账。这整个记账过程,不会涉及中心化的第三方,也不会在一个中心化服务器中存储任何数据。
2.不可篡改
传统的记账法有单式记账法,由一个人记账,绝对中心化;复式记账是双边记账,相互确认,但记账手续繁杂;区块链则是多点同时记账,能够快速且有效的实现准确记账。
因为区块链是由世界范围内志愿者组成的区块链网络系统,参与进来的电脑设备非常之多,而在整个网络系统中,每十分钟内发生的交易都会被所有设备确认、清算,并存储在一个首尾相连的区块结构上,这样就形成了一个链条。每一个区块都得对此前的区块事实进行确认,并进行有效的时间戳加盖行为。
由于整个系统内的账本数量非常之多,且都加盖了时间戳,想要对账本内的事实进行篡改或删除,则必须众目睽睽之下,对系统内超过51%的账本所记录的事实进行篡改或删除,而这在拥有成千上万个账本,且数量还在不断增长的区块链系统内几乎很难实现。如此一来,就无法肆意操控修改网络数据,避免主观人为的数据变更。
3.透明开放
相对于现在很多技术的封闭性和保密性,区块链的技术基础是开源的,任何人都可以免费下载、运行、使用,并创造开发新应用。
与此同时,区块链上的数据,都是经过区块链系统中所有参与记账的账本,进行验证、传递和管理,并被永久保存的。每一个人都知道其中发生的事情,所有的交易也都会被人们见证。因而这些数据能够对所有人开放,任何人在任何时候都可以进行浏览查看。
不像以往,这些数据仅存在于传统系统那样的中心化机构中,里面的数据能够被第三方随意控制和使用,人们却无从得知也无法阻止。
4.安全性
随着互联网技术的发展,我们的身份在网络上越来越透明,个人信息也总是会被“人肉”、被窃取、被泄露,这使得大量垃圾信息充斥着我们的生活。而这源于我们在互联网上进行的一切交易活动和社交活动。我们的APP需要注册登录,我们的邮箱需要设置密码,我们的朋友圈、微博可以定位……
除了普通网络用户,金融信贷机构、通讯公司等平台,它们中心化的大数据库掌握着大量机密数据,而他们也只是依靠脆弱的防火墙进行数据加密和保护,但这有可能被黑客随时攻击并窃取数据,造成不可估量的损失。
区块链技术则是使用了公钥基础设施来搭建安全平台,公钥基础是非对称加密算法的一种高级形式,即用户拥有两个功能不同的密钥,一个是用来加密的公钥,一个是用来解密的私钥。解密的这把私钥仅且只有你一个人拥有,从而保证了他人无法轻易窃取你的个人数据。
这种非对称加密算法的好处,用通俗的例子来解释,就是你有一把家里的钥匙,如果丢了,家里就有失窃的可能,因为捡到钥匙的人可以通过这把钥匙来打开你家房门。但如果使用非对称加密钥匙,就是你家锁门是一把钥匙,开门又需要另一把不同于锁门的钥匙,那么即使你丢了锁门的钥匙,家里也不会有失窃的可能。
区块链技术的影响
最后要说的是,区块链技术是足以使我们现有的社会形式,发生翻天覆地的变化。而看似复杂的区块链,其主要构思却非常简单易懂,那就是帮助我们可以直接、安全地将钱转出和接收,中间无须经过银行、支付平台这样的第三方机构,这将直接影响我们从信息互联网时代向价值互联网时代转变和迈进。
不仅如此,区块链的功能运作更是一场完美的大规模协作,在助力我们创造更高效益的同时,还能帮助我们最大程度的控制自己的数据,财产以及参与度,这将使得我们每一个人的权益,都能得以发挥和被保护。而我们的社会也将在区块链技术的加持下,进入一个真正的价值人权时代。
下一篇:区块链是什么通俗解释

2020-04-21