00 前言
电化学阻抗谱(交流阻抗法)是电化学测试技术中一类十分重要的方法,是研究电极过程动力学和表面现象的重要手段。特别是近年来,由于频率响应分析仪的快速发展,交流阻抗的测试精度越来越高,超低频信号阻抗谱也具有良好的重现性,再加上计算机技术的进步,对阻抗谱解析的自动化程度越来越高,这就使我们能更好的理解电极表面双电层结构,活化钝化膜转换,孔蚀的诱发、发展、终止以及活性物质的吸脱附过程。
01 电化学阻抗谱基础
电化学阻抗谱(Electrochemical Impedance Spectroscopy,EIS)
给电化学系统施加一个频率不同的小振幅的交流正弦电势波,测量交流电势与电流信号的比值(系统的阻抗)随正弦波频率w的变化,或者是阻抗的相位角f随w的的变化。通常作为扰动信号的电势正弦波的幅度在5mV左右,一般不超过10mV。

1.1 利用EIS研究一个电化学系统的基本思路
将电化学系统看作是一个等效电路,这个等效电路是由电阻(R)、电容(C)、电感(L)等基本元件按串联或并联等不同方式组合而成,通过EIS,可以测定等效电路的构成以及各元件的大小,利用这些元件的电化学含义,来分析电化学系统的结构和电极过程的性质等。
1.2 电化学系统的交流阻抗的含义

给黑箱(电化学系统M)输入一个扰动函数X,它就会输出一个响应信号Y。用来描述扰动与响应之间关系的函数,称为传输函数G(w)。若系统的内部结构是线性的稳定结构,则输出信号就是扰动信号的线性函数。

如果X为角频率为w的正弦波电流信号,则Y即为角频率也为w的正弦电势信号,此时,传输函数G(w)也是频率的函数,称为频响函数,这个频响函数就称之为系统M的阻抗(impedance),用Z表示。

EIS技术就是测定不同频率w(f)的扰动信号X和响应信号Y的比值,得到不同频率下阻抗的实部Z’、虚部Z”、模值|Z|和相位角f,然后将这些量绘制成各种形式的曲线,就得到EIS抗谱。常用的电化学阻抗谱有两种:一种叫做奈奎斯特图(Nyquist plot), 一种叫做波特图(Bode plot)。

1.3 EIS的特点
优点:体系干扰小;提供多角度的界面状态与过程的信息,便于分析腐蚀缓蚀作用机理;数据分析过程相对简单,结果可靠。
缺点:复杂的阻抗谱的解释。
02 电极过程的等效电路
2.1 电荷传递过程控制的EIS
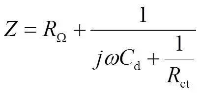
如果电极过程由电荷传递过程(电化学反应步骤)控制,扩散过程引起的阻抗可以忽略,则电化学系统的等效电路可简化为:

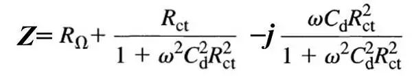
等效电路的阻抗:


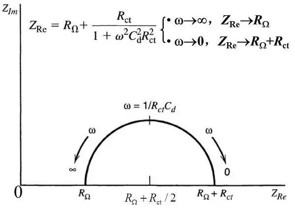
电极过程的控制步骤为电化学反应步骤时,Nyquist图为半圆,据此可以判断电极过程的控制步骤。从Nyquist图上可以直接求出RW和Rct。由半圆顶点的w可求得Cd。

注意:在固体电极的EIS测量中发现,曲线总是或多或少的偏离半圆轨迹,而表现为一段圆弧,被称为容抗弧,这种现象被称为“弥散效应”,原因一般认为同电极表面的不均匀性、电极表面的吸附层及溶液导电性差有关,它反映了电极双电层偏离理想电容的性质。溶液电阻RW除了溶液的欧姆电阻外,还包括体系中的其它可能存在的欧姆电阻,如电极表面膜的欧姆电阻、电池隔膜的欧姆电阻、电极材料本身的欧姆电阻等。
2.2 电荷传递和扩散过程混合控制的EIS
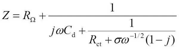
如果电荷传递动力学不是很快,电荷传递过程和扩散过程共同控制总的电极过程,电化学极化和浓差极化同时存在,则电化学系统的等效电路可简单表示为:

电路的阻抗:

Nyquist图上扩散控制表现为倾斜角π/4(45°)的直线。

电极过程由电荷传递和扩散过程共同控制时,在整个频率域内,其Nyquist图是由高频区的一个半圆和低频区的一条45度的直线构成。高频区为电极反应动力学(电荷传递过程)控制,低频区由电极反应的反应物或产物的扩散控制。


扩散阻抗的直线可能偏离45°,原因:电极表面很粗糙,以致扩散过程部分相当于球面扩散;除了电极电势外,还有另外一个状态变量,这个变量在测量的过程中引起感抗。
2.3 复杂或特殊的电化学体系
对于复杂或特殊的电化学体系,EIS谱的形状将更加复杂多样。只用电阻、电容等还不足以描述等效电路,需要引入感抗、常相位元件等其它电化学元件。

03 EIS的数据处理与解析
EIS分析常用的方法:等效电路曲线拟合法
第一步:实验测定EIS。

第二步:根据电化学体系的特征,利用电化学知识,估计这个系统中可能有哪些个等效电路元件,它们之间有可能怎样组合,然后提出一个可能的等效电路。

第三步:利用专业的EIS分析软件,对EIS进行曲线拟合。如果拟合的很好,则说明这个等效电路有可能是该系统的等效电路。

最后:利用拟合软件,可得到体系RW、Rct、Cd以及其它参数, 再利用电化学知识赋予这些等效电路元件以一定的电化学含义,并计算动力学参数。
注意:电化学阻抗谱和等效电路之间不存在唯一对应关系,同一个EIS往往可以用多个等效电路来很好的拟合。具体选择哪一种等效电路,要考虑等效电路在被侧体系中是否有明确的物理意义,能否合理解释物理过程。这是等效电路曲线拟合分析法的缺点。

2020-02-23 15:45:09