
推荐(免费):
对于Pandas运行速度的提升方法,之前已经介绍过很多回了,里面经常提及Dask,很多朋友没接触过可能不太了解,今天就推荐一下这个神器。
1、什么是Dask?
Pandas和Numpy大家都不陌生了,代码运行后数据都加载到RAM中,如果数据集特别大,我们就会看到内存飙升。但有时要处理的数据并不适合RAM,这时候Dask来了。
Dask是开源免费的。它是与其他社区项目(如Numpy,Pandas和Scikit-Learn)协调开发的。
官方:https://dask.org/
Dask支持Pandas的DataFrame和NumpyArray的数据结构,并且既可在本地计算机上运行,也可以扩展到在集群上运行。
基本上,只要编写一次代码,使用普通的Pythonic语法,就可在本地运行或部署到多节点集群上。这本身就是一个很牛逼的功能了,但这还不是最牛逼的。
我觉得Dask的最牛逼的功能是:它兼容大部分我们已经在用的工具,并且只需改动少量的代码,就可以利用自己笔记本电脑上已有的处理能力并行运行代码。而并行处理数据就意味着更少的执行时间,更少的等待时间和更多的分析时间。
下面这个就是Dask进行数据处理的大致流程。
2、Dask支持哪些现有工具?
这一点也是我比较看中的,因为Dask可以与Python数据处理和建模的库包兼容,沿用库包的API,这对于Python使用者来说学习成本是极低的。而像Hadoop、Spark这种大数据处理是有很高的学习门槛和时间成本的。
目前,Dask可支持pandas、Numpy、Sklearn、XGBoost、XArray、RAPIDS等等,光是这几项我觉得就足够用了,至少对于常用的数据处理、建模分析是完全覆盖得掉的。
3、Dask安装
可以使用 conda 或者 pip,或从源代码安装dask 。
conda install dask
因为dask有很多依赖,所以为了快速安装也可用下面代码,将安装运行Dask所需的最少依赖关系集。
conda install dask-core
再有就是通过源来安装。
git clone https://github.com/dask/dask.git cd dask python -m pip install .
4、Dask如何使用?
Numpy、pandas
Dask引入了3个并行集合,它们可以存储大于RAM的数据,这些集合有DataFrame、Bags、Arrays。这些集合类型中的每一个都能够使用在RAM和硬盘之间分区的数据,以及分布在群集中多个节点上的数据。
Dask的使用是非常清晰的,如果你使用NumPy数组,就从Dask数组开始,如果你使用Pandas DataFrame,就从Dask DataFrame开始,依此类推。
import dask.array as da
x = da.random.uniform(low=0, high=10, size=(10000, 10000), # normal numpy code
chunks=(1000, 1000)) # break into chunks of size 1000x1000
y = x + x.T - x.mean(axis=0) # Use normal syntax for high level algorithms
# DataFrames
import dask.dataframe as dd
df = dd.read_csv('2018-*-*.csv', parse_dates='timestamp', # normal Pandas code
blocksize=64000000) # break text into 64MB chunks
s = df.groupby('name').balance.mean() # Use normal syntax for high level algorithms
# Bags / lists
import dask.bag as db
b = db.read_text('*.json').map(json.loads)
total = (b.filter(lambda d: d['name'] == 'Alice')
.map(lambda d: d['balance'])
.sum())这些高级接口在略微变化的情况下复制了标准接口。对于原始项目中的大部分API,这些接口会自动为我们并行处理较大的数据集,实现上不是很复杂,对照Dask的doc文档即可一步步完成。
Delayed
下面说一下Dask的 Delay 功能,非常强大。
Dask.delayed是一种并行化现有代码的简单而强大的方法。之所以被叫做delayed是因为,它没有立即计算出结果,而是将要作为任务计算的结果记录在一个图形中,稍后将在并行硬件上运行。
有时问题用已有的dask.array或dask.dataframe可能都不适合,在这些情况下,我们可以使用更简单的dask.delayed界面并行化自定义算法。例如下面这个例子。
def inc(x):
return x + 1
def double(x):
return x * 2
def add(x, y):
return x + y
data = [1, 2, 3, 4, 5]
output = []
for x in data:
a = inc(x)
b = double(x)
c = add(a, b)
output.append(c)
total = sum(output)
45上面代码在单个线程中按顺序运行。但是,我们看到其中很多可以并行执行。Dask delayed函数可修饰inc、double这些函数,以便它们可延迟运行,而不是立即执行函数,它将函数及其参数放入计算任务图中。
我们简单修改代码,用delayed函数包装一下。
import dask
output = []
for x in data:
a = dask.delayed(inc)(x)
b = dask.delayed(double)(x)
c = dask.delayed(add)(a, b)
output.append(c)
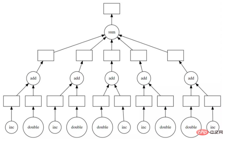
total = dask.delayed(sum)(output)代码运行后inc、double、add和sum都还没有发生,而是生成一个计算的任务图交给了total。然后我们用visualizatize看下任务图。
total.visualize()

上图明显看到了并行的可能性,所以毫不犹豫,使用compute进行并行计算,这时才完成了计算。
>>> total.compute() 45
由于数据集较小无法比较时间,这里只介绍下使用方法,具体可自己动手实践下。
Sklearn机器学习
关于机器学习的并行化执行,由于内容较多,东哥会在另一篇文章展开。这里简单说下一下dask-learn。
dask-learn项目是与Sklearn开发人员协作完成的。现在可实现并行化有Scikit-learn的Pipeline、GridsearchCV和RandomSearchCV以及这些的变体,它们可以更好地处理嵌套的并行操作。
因此,如果你将sklearn替换为dklearn,那么速度将会提升很多。
# from sklearn.grid_search import GridSearchCV
from dklearn.grid_search import GridSearchCV
# from sklearn.pipeline import Pipeline
from dklearn.pipeline import Pipeline
下面是一个使用Pipeline的示例,其中应用了PCA和逻辑回归。
from sklearn.datasets import make_classification
X, y = make_classification(n_samples=10000,
n_features=500,
n_classes=2,
n_redundant=250,
random_state=42)
from sklearn import linear_model, decomposition
from sklearn.pipeline import Pipeline
from dklearn.pipeline import Pipeline
logistic = linear_model.LogisticRegression()
pca = decomposition.PCA()
pipe = Pipeline(steps=[('pca', pca),
('logistic', logistic)])
grid = dict(pca__n_components=[50, 100, 150, 250],
logistic__C=[1e-4, 1.0, 10, 1e4],
logistic__penalty=['l1', 'l2'])
# from sklearn.grid_search import GridSearchCV
from dklearn.grid_search import GridSearchCV
estimator = GridSearchCV(pipe, grid)
estimator.fit(X, y)结果是:sklearn会在40秒钟左右执行此计算,而dask-learn替代品大约需要10秒钟。
另外,如果添加以下代码可以连接到集群,通过Client可以展示整个计算过程的dashboard,由Bokeh实现。
from dask.distributed import Client
c = Client('scheduler-address:8786')
5、总结

2021-04-01 13:13:09