
“真的好想中彩票啊,妈蛋!”
就像千年不冒泡的微博网友突然转发了王校长的抽奖,每个人都或多或少幻想过,哪天一觉醒来变成天选的百万富翁。
而在无数种一夜暴富的可能中,最经济实惠的要数买彩票 —— 改变命运,从此只需两块钱。
于是从三十年前起,一代国人前赴后继地走进彩票站,开始了上下求索的生涯,只为勘破数字组合的终极奥义走上人生巅峰。
一、“伸出您的手,献出您的爱”
1987年的一个炎炎夏日,中国第一批“彩票”忐忑地出现在石家庄大街上。
彼时,在这个长期禁赌的国度,“彩票”还是一个陌生的舶来词。由于担心彩票带有不劳而获的意味,会触动保守派的神经,政府给它起了个中国式的名字 —— “社会福利有奖募捐”。
事实上,第一次彩票销售确实充满“为国为民”的意味。
第一个“带头募捐”的,是时任石家庄副市长的孙永生。据他回忆,政府部门下发了通知,要求领导干部要起示范作用,“当时还给市里各部门分了任务,每个部门都要买一定数量的彩票。”

1987年发行的“中国社会福利有奖募捐券”,长得像1块钱人民币,背面写着“利国利民”。
看着政府搭起的大排场,许多河北市民怀着碰碰运气的心理购买了奖券,成了第一批吃螃蟹的人。
等到开奖仪式,前来兑奖的人挤满了整个广场。中奖者是河北临时工温国斌,他本来每天挣4、5块钱,中了一等奖2000元,比一年工资还多,于是回村风风光光地办了婚礼,一举成为彩票事业的活广告。
从此,彩票开始在全国生根发芽,陆续开卖。不过,虽然彩票的首发仪式轰轰烈烈,但由于多数人对彩票并不了解,初期销量并不理想。
销售人员只能在摊位向路人挨个解释什么是“有奖募捐”。即便如此,听说交两块钱可以得大奖,路人的眼中还是经常写满看骗子的眼神。
真正打开市场的,是90年代的即开型彩票 —— 2块钱摸一张奖票,现场刮开兑奖,丰厚大奖就摆在旁边,看得见摸得着,因此这种销售模式也被叫做“大奖组”。
此举一出,就激起了中国人沉寂多年的发财梦。

奖品陈列区摆着特等奖的电视、一等奖的自行车、二等奖的时钟、三等奖的搪瓷脸盆,和四等奖的肥皂。程耀宝 / 摄
在城市的广场和农村的集市,堆积的大彩电、洗衣机、自行车、小轿车引发了万人空巷的热潮。彼时,万元户刚刚登上历史舞台,百货大楼里都没有同时摆这么多宝贝。
人们排队抢购,呼吸越来越急促,盼望好运能落到自己头上。整个广场上,都弥漫着热气腾腾的欲望。

1998年,海南海口市发行中国赈灾福利彩票,出现抢购潮。张炜 / 摄

广州一次福利彩票销售吸引二百万人次,造就了十九名百万富翁。柯小军 / 摄
一旦有人中奖了,工作人员就把中奖者请上台,披上红花,敲锣打鼓送回家,隆重得如同大型婚礼现场。
其余没中奖的人,则簇拥在台下,希望能和大奖得主握手“沾沾喜气”,然后更加疯狂地购买,希望下一个“2块钱把小轿车开回家”的人是自己。
海口市人民广场,在“花2元钱可获得60万”的宣传之下,数以万计的外来务工人员涌入广场。
90年代,彩票销售进入了更加狂热的阶段。
体育彩票开始发行,“社会福利有奖募捐”改名成“中国福利彩票”,电脑彩票、刮刮乐、双色球等新玩法也不断翻新。
令人目不暇接的爆款,和越来越高的奖金,让许多人心甘情愿地掏出了自己的生活费,享受以小博大的快感。
无论城乡,不分南北,人们就这样你一块,我一块,在世纪末把福利彩票年销量送上了百亿元大关。

2000年,厦门市举行5000万元体育彩票销售,中奖率30%,购买者人满为患。

“大奖组”所到之处,地上就铺满彩票纸,如同下了一夜雪。
二、“2元改变一生命运”
彩票梦的野蛮生长,让一些人看到了商机。如何吸引人们来买彩票,成为了无数彩票销售人员的必修课。
于是,早在成功学风行之前,大奖组就见证了无数口号的诞生。

“2元+幸运=桑塔纳”,没毛病。

2元改变一生命运,听上去比高考容易多了。

“想想100万!”
体彩广告牌也不甘落后,用数据说话:
每5天产生一个百万富翁,多买少买,多少要买,早中晚中,一定会中!
虽然理智听起来不靠谱,透露着一股“传销式”的疯狂,但是毋庸置疑的是,人家可是合法生意。

除此之外,花式宣传也争相出现,在娱乐业尚不发达的时代,为渴望新鲜刺激的人们,带来了一丝商业社会的初体验。
2003年新年第一天,在杭州市广场上,一个光头男子走进了彩民的视线,头上画着福利彩票的广告。

80万元巨奖,群星荟萃,包括陈小春、李湘、任达华。
面对疯狂宣传,久旱逢甘霖的彩民觉得,自己和一夜暴富真的就只剩一张彩票的距离。
由此养活的彩票店,也达到了“三步一哨,五步一岗”的地步。老板不遗余力地展示着中奖信息,然后店门口贴上“失败千万次,成功在一回”的标语,赤裸裸地诱惑着更多人的加入。
在追求致富这件事上,小学生从不落后。安徽合肥一小学前,学生们用省吃俭用的钱购买儿童彩票,每张5角,最高能中2块。专家称,此举对儿童成长不利。

2000年,北京农民工午休时在工地附近买彩票。大奖已经达到1000万元。
卖彩票的千方百计让人相信下个得奖的就是自己,而买彩票的则忍不住苦苦思索,如何才能成为中大奖的那个幸运者。
渐渐地,一些玄之又玄的路子在国人间流传开来。
有人总结道,中奖首先是从一些吉兆开始,常见的比如右手发痒,或者家门口喜鹊叫个不停。还有一些不常见的,都是与梦有关:
梦见自己钓起一条重达30多斤的鱼
梦见著名小品演员潘长江(奖)来家里做客
梦见刘德华(得发)
梦见自己掉进了一个粪坑里,费半天劲都爬不出来
……
买彩票也是各有讲究。有人想蹭菩萨的好运,就用香油钱买彩票。有人则几十年如一日地坚持在开奖当天去买彩票,声称这样中奖概率更高。还有人坚信自己就是天选之子,用生日、幸运数字、车牌号做投注数字……
但这样的尝试往往只剩徒劳,彩票史上从来不乏令人啼笑皆非的案例。
曾有一位江西小伙,左眼皮经常莫名跳动,于是在“左眼跳财”的信仰下,他斥巨资8000多块买了彩票。
到头来,悉心呵护的“左眼跳动”不仅没让自己中奖,还发展成了左侧面部痉挛。

传说“童子手”能带来好运。
另外,网上还流传着几种不成功的尝试:

法师也是实在人,开示道:“你不要去打妄想,要五百万啦,还是老老实实过你应该过的日子为好啊。”
玄乎的路子走不通,很多人就觉得还是得依靠学术。毕竟,民间科学家都在公园广场宣布破解了哥德巴赫猜想,人民的智慧还有什么不能实现?

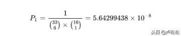
据说,这是双色球一等奖的中奖概率。
2006年,重庆一位彩民运用《易经》金木水火土的走势变化来选择号码,中了大奖,把人们对“知识改变命运”的狂热又推上了高峰。
一时间,市面上涌现了一批批野生“彩票科学家”,预测班开到了两天9800元的天价。
而彩票预测产品则各显神通,比如一名“彩票大师”,据广告说在申请“吉尼斯世界纪录”中奖准确率之最:
“采用闻名古今中外的文王六十四卦原理配上最科学的2N次方,成就举世无双,准确率98.4%,独孤求败绝世稀品。”

《黄金分割测号法》培训教材。
还有人提出了“打工一世穷”理论,循循善诱地倡导,用“科学方法”买彩票赚钱:
世上有两种来钱方式,一是挣钱,二是赚钱。挣钱主要靠给人打工。而打工的滋味是很不好受的,要处处看老板的脸色行事,还不能随意支配自己的生活。打一辈子工也积攒不下多少财富,可以说打工一世穷。而赚钱则不同,赚钱靠的是智慧,用钱来生钱,赚钱的人一天赚的钱甚至比别人打工一年或是一辈子的收入还多。有本事的人赚钱,无本事的人挣钱。
一则广告还清楚说明,学习班帮山东学员刘杰用180元的本金不到两小时赚了1600多元,刘杰“十分感激敬佩,临走前给老师购买了烟酒并赠送了锦旗。”
赚没赚钱不知道,但是看得出,“彩票神话”就这样切中了时代最敏感的神经。
国家GDP可以迅猛增长,下海可以成为万元户,那买彩票一夜暴富的为什么不能是我?

重庆包工头老王放弃工作,钻研自己研究的彩票公式。后来,老婆离开了他,他也沦落到住在桥洞靠捡垃圾为生,但他仍表示:“现在可以说已经成功了,只要有前十期的开奖号码,给我三个小时,绝对可以推算出来”。
三、“你以为谁都有那种福气吗?”
进入千禧年,人们的兜里越来越鼓,彩民也达到了2亿人。2013年一年销售额高达3000亿,均摊的话,相当于全国每人每年花200多块钱买彩票。
不过,彩票业也为自己的野蛮生长,付出着代价。
最有名的彩票案件发生在2004年。西安即开型体育彩票销售现场,小刘中了12万元另加一辆宝马车的头奖。
但在兑奖时,体育彩票管理中心发现小刘的彩票是假票。最终调查表明,是体彩工作人员受贿,准备了这份假票,结果上台领奖的“托儿”拿错信封,才让彩票误入小刘的手里。
假票事件后,即开型体彩在全国范围内全面叫停,大奖组迎来了自己的终结。
小刘爬上广告牌要自杀,称“不给宝马车不下来。

中国式领奖,堪称“蒙面歌王”现场。得奖者真实身份的不透明,也引来对结果公平性的诸多猜忌,因为谁也不知道,面具后面到底是不是领导亲戚。
不过,彩票的乱象也没能阻止普通人对撞大运的追求。
1818黄金眼就告诉我们,彩民的世界有时会超出一般人的想象。

有人把家人看病用的一万块钱用来买彩票,输光后绝望地割腕。警察对他进行了谆谆教导。
还有人声称自己中了1000万后,彩票被人偷了。最后事实证明,他并没有中奖,这一切只是个幻觉:)
也有受骗者,展现了O2O时代的最新彩票骗局:有APP声称破解了彩票平台漏洞,可以分分钟让你中奖。
彩票业资深老板张大姐发现,来店里买彩票的有公务员、医生、教师,但来得最多的是打工者。越是低收入群体,往往买得越多。
看着一些人掏出钱包里最后一块钱,最终却希望落空,她甚至产生了一种罪恶感,觉得这彩票机就像“一个张着血盆大口的吞钱机器”。
事实上,美国评论家曾说,彩票是穷人的税收,是数学畏惧者的税收,也是傻人的税收。
尽管如此,阶层跃升的梦想,却还是引诱着人们前赴后继地投入。如一位彩民所说:“我可以活得失败,但是你不能阻止我想得美啊。”

“下一张,总是藏着希望。”
如今,广场上人声鼎沸的抽奖画面已难重现,佛系彩民开始倡导“不求一夜暴富,只求稳稳吃肉”。
不过转眼看看微博,还不是每天都有人梦想通过轻轻一点,成为百分之一或者千分之一,拿走1万元现金或者限量手机壳附送的iPhone xs max 256g手机。
也许,革命乐观主义精神还是要有的。
不过等梦醒的时候,就只能再次感慨 —— 这人呐,还是要工作啊。
这么想着,也就悻悻地加班去了。

《请回答1988》中,眼看邻居双门洞一家通过中彩票实现了阶层跃升,住在半地下室的德善妈妈还是劝德善爸爸:“你以为谁都有那种福气吗?”
笔者:看客
下一篇:腾讯没有游戏梦想

2019-07-11 17:06:17