针对建筑给排水-临时用水,主要阐述施工现场临时用水布置的特点和应注意的计算方法(包括公式)。
无论是想学给排水工程、安全工程、建筑工程还是正在相关领域工作的朋友,看完都是非常有益的。
临时用水概述
施工现场临时供水主要包括给排水系统。供水系统主要考虑施工用水和消防用水;排水系统主要包括现场生产排水、雨水系统和污水系统。
1.临时供水。
1.1编制依据。
1.《建筑设计防火规范》 (GB50016-2014),自2015年5月1日起实施;最初的版本是2006年的。
2.《建筑给水排水设计手册》(第二版)。
3、《建设工程施工现场消防安全技术规范》 (GB50720-2011)
4.《建筑施工计算手册》(第二版)。
1.2相关计算。
根据中国建筑工业出版社出版的《建筑施工手册》第五版(原第四版),现场临时供水及管径计算如下:
整体临时供水及管径计算:
工程用水量q1按公式Q1=K1qn1 k2/(83600)计算,一般在用水量最大的地下室底板混凝土浇筑阶段计算。
K1——意外施工用水量系数,取1.10;
Q1——完成每班计划工程量,每班浇筑1000m3混凝土。
N1——施工用水定额,混凝土采用预拌混凝土,仅考虑混凝土自然养护,用水量取200L;
K2——现场施工用水不平衡系数,取1.5。
计算施工现场生活用水量采用公式q2=p1n3k4/(b 8 3600)。
其中Q2-施工现场生活用水量(升/秒);
peak施工现场高峰期居住人数,取1500人;
N3-施工现场生活用水定额,取60L/人;
K4——施工现场生活用水不均匀系数,取1.3;B—每天工作班次数,为1。
计算消防用水量q3,本项目q3=q31 q32。
Q31——室外消防用水量,取20l/s;
Q32—室内消防用水量,取15l/s。
计算施工现场总用水量q,q=Q3和q1 q2的较大值,一般q3=35L/s.
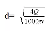
环网直径的选择:
其中,q取消了预防用水与生活生产用水之间的较大值,Q3=35l/s;一般生活、施工用水流量v取1.5 m/s,消防用水取2.5m/s;施工现场一般配置DN150mm的主管道可满足要求。
临时水泵的选择:
泵头:
计算公式:h=(h1 h2 h3) x1.1。
流量为q=10L/s=36 m3/h(f1以上消防用水量取10L/s)。
H1最不利端消火栓到泵房地面的高度(水柱);
H2水射流压力(水柱),根据设计规范,取25水柱;
H3管道水头损失(水柱);其中H3:
H3=h1 H2=h1 0.2 h1=1.2升
H1——沿途水头损失(水柱);
H2——当地水头损失(水柱),占公路沿线水头损失的20%。
I-单位管道长度水头损失,查表I并取0.0269;
l-计算管段长度(m)。
通过上述公式计算泵的扬程,确定泵的型号。
示例:施工用水量(供参考)。
2.临时排水。
1.室内排水:主要是指在施工现场设置厕所,在施工用水点设置集水箱等。
2.室外排水:主要包括施工现场周围的明沟排水和化粪池设置。
室外明沟一般为300mmX300mm(宽深)。(铁锹宽度一般略小于300mm,便于明沟清理。).
3.室外雨水:主要利用地下室结构将雨水收集到地下室集水井中,然后利用大流量水泵将水均匀排放到室外露天排水沟中。
注:施工现场的食堂废水需要通过隔油池后才能排放到室外

2021-11-03 12:20:42