电源参数
根据功率、输入和输出,我们选择反激式电源拓扑。
反激式变压器的优点是:
1.该电路简单,能有效提供多个DC输出,适合多种输出要求。
2.转换效率高,损耗低。
3.变压器匝数比小。
4.当输入电压在较大范围内波动时,仍能有相对稳定的输出。
设计步骤:
1.确定电源参数。
2.计算电路参数。
3.选择磁芯材料。
4.选择磁芯的形状和尺寸。
5.计算变压器匝数、有效气隙电感和气隙长度。
6.选择绕组线圈的线径。
7.计算变压器损耗和温升。
原理图
步骤一、确定电源参数:(一些参数由指标给出,一些参数来自数据)
注:电流比例因子:纹波比率,即大负载和低收入下纹波电流与实际电流的比率。
步骤二、计算电路参数:
最小DC输入电压:
z是损失分布系数。如果Z=1.0,所有的损耗都在二次侧;如果Z=0,所有的损失都在一次侧;这里,Z=0.5意味着所有的损耗都存在于一次侧和二次侧。
步骤三、选择磁芯材料:
铁氧体材料具有高电阻率、低高频损耗的特点,满足要求的材料种类和磁芯规格很多。而且价格比其他材料低,是目前开关电源中应用最广泛的材料。同时也存在饱和磁感应强度低、材料脆、抗冲击、温度性能差等缺点。
采用开关电源变压器和大功率传输器件用MnZn功率铁氧体材料PC40。其初始磁导率为230025%,饱和磁通密度为510 mt(25)/390 mt(100),居里温度为215。
选用的磁芯材料是铁氧体,PC40。
步骤四、选择磁芯的形状和尺寸:
磁性材料在高频电子电路中是不可缺少的。磁性材料主要用于电路中的变压器和扼流圈(包括谐振电感)。
变压器是整个电源的重要核心,因此变压器的计算和校验非常重要。
磁性材料存在磁饱和问题。如果磁路饱和,会导致变压器功率传递失真,从而降低电感的电感等。对于电源来说,电源的输出纹波会随着有效电感的减小而增大,通过开关管的峰值电流也会增大。这可能导致开关管的工作点超出安全工作区域,从而缩短或损坏开关管的使用寿命。磁性材料的另一个问题是居里温度。
(居里温度).在这个温度下,材料的磁性会发生巨大的变化。特别是材料会从强磁性物质变成顺磁性物质,也就是磁导率会迅速降低几个数量级。其实几乎相当于空芯。一些铁氧体的居里点可以低至约130。因此,我们必须注意磁性材料的工作温度。
简单来说,有两个问题:
1.饱和——导致电感降低。
2.居里温度为——,磁导率降低。
因此,在选择变压器时,我们需要充分考虑两个问题:
1.必须满足磁通量,以避免饱和。
2.温度不能太高。
所以我们需要先计算变压器铁心的磁饱和。
和的磁通量的最大值B(max)决定变压器的材质及尺寸:
依据变压器计算公式
B(max)的计算结果,不要超过我们选型的铁心的额定值,并进行降额、并考虑外壳导致散热不良带来的影响,并留有余量。
B(max)的算法有两种,
面积相乘法(AP法)
几何参数法(KG 法)
推导过程比较复杂和繁琐,此处不进行展开。
在这里用面积乘积公式粗选变压器的磁芯形状和尺寸。具体公式如下:
反激变压器工作在第一象限,最高磁密应留有余度,故选取BMAX=0.3T,反激变压器的系数K1=0.0085(K1是反激变压器在自然冷却的情况下,电流密度取420A/cm2时的经验值。)
磁芯型号:查EPC磁芯系列—EPC19,磁芯参数为:
磁芯有效截面积:
Ae=
22.7
mm2
磁芯窗口面积:
Aw=
50
mm2
磁路长度:
Le=
0.461
mm
无气隙电感系数:
Al=
940
nH/T2
磁芯体积:
Ve=
0.9
cm3
骨架绕线宽度:
Bw=
11.9
mm
EPC磁芯主要为平面变压器设计的,具有中柱长,漏感小的特点。EPC19磁芯的AP值约为0.11cm4,稍大于计算所需的AP=0.09 cm4。若再选用小一号的磁芯EFD15,其AP值约为0.047 cm4,小于计算所需的AP=0.09 cm4,不符合要求,故选用EPC19磁芯。
步骤五、计算变压器各绕组匝数、有效气隙电感系数及气隙长度:
1、法拉第电磁感应定律
电路中感应电动势的大小,跟穿过这一电路的磁通变化率成正比,若感应电动势用
表示,则
,这就是法拉第电磁感应定律。
若闭合电路为一个
匝的线圈,则又可表示为:
。式中,
为线圈匝数,
为磁通量变化量,单位
,
为发生变化所用时间,单位为
,
为产生的感应电动势,单位为
。
电感欧姆定律方程:V=L*(dI/dt)
所以推导得到电流型方程:
N*A*B=L*I
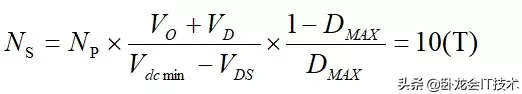
原边绕组匝数:
当电感、电流、匝数、面积确定的情况下,磁饱和密度也就确定了。
换句话说:我们为了达到一定的磁饱和密度,需要增加匝数来实现。
当原边的匝数满足要求之后,我们通过匝数比关系,可以计算副边匝数要求。
步骤六、选择绕组导线线径:
满足磁通量的同时我们还需要考虑电流和空间的问题。
决定变压器线径及线数:
当变压器决定后,变压器的Bobbin(骨架)即可决定,依据Bobbin(骨架)的槽宽,可决定变压器的线径及线数,亦可计算出线径的电流密度,电流密度一般以6A/mm2为参考,电流密度对变压器的设计而言,只能当做参考值,最终应以温升记录为准。
变压器有效的骨架宽度:
LX为原边绕组层数,在这里采用4层。
M为线圈每端需要的爬电距离,在这里取2mm。
(爬电距离是沿绝缘表面测得的两个导电零部件之间或导电零部件与设备防护界面之间的最短路径。)
骨架绕线宽度:Bw=11.9mm
计算原边绕组导线允许的最大直径(漆包线):
根据上述计算数据可采用裸线径DIA=0.23mm的漆包线绕置,其带漆皮外径为0.27mm,刚好4层可以绕下。
根据所选线径计算原边绕组的电流密度:
计算副边绕组导线允许的最大直径(漆包线):
根据上述计算数据可采用裸线径DIASS=0.72mm的漆包线绕置,但由于在温度100℃、工作频率为60KHz时铜线的集肤深度:
而0.72mm大于了2倍的集肤深度,使铜线的利用率降低,故采用两根0.35mm的漆包线并绕。
自供电绕组线径:由于自供电绕组的电流非常小只有5mA,因此对线径要求并不是很严格,在这里主要考虑为便于与次级更好的耦合及机械强度,因此也采用裸线径为0.35mm的漆包线进行绕置,使其刚好一层绕下,减小与次级之间的漏感,保证短路时使自供电电压降低。
步骤七、计算变压器损耗和温升
变压器的损耗主要由线圈损耗及磁芯损耗两部分组成,下面分别计算:
1)线圈损耗:
为100℃铜的电阻率为2.3×10-6(·cm ); 为原边绕组的线圈长度,实测为360cm;A为原边0.23mm漆包线的截面积。
d为原边漆包线直径0.23mm,s为导线中心距0.27mm,为集肤深度0.31mm。
原边交流电阻与直流电阻比:由于原边采用包绕法,故原边绕组层数可按两层考虑,根据上式所求的Q值,查得。
为100℃铜的电阻率为2.3×10-6(·cm ); 为副边绕组的线圈长度,实测为80cm;A为副边两根0.38mm漆包线的截面积。
d为副边漆包线直径0.35mm,s为导线中心距0.41mm,
为集肤深度0.31mm。
副边交流电阻与直流电阻比:副边绕组层数为一层,根据上式所求的Q值,查得:
2)磁芯损耗:
Pcv为磁芯功率损耗,由峰值磁通密度摆幅、工作频率60KHz及工作温度100℃可在厂家手册上查出其损耗约为30mw/cm3。
Ve为EPC19的体积0.105cm3。
总结:通过上述计算可知,当环境温度为85℃时,变压器最高温度在96℃左右,符合磁芯的最佳工作温度。同时采用包绕法使得漏感仅为70uH(1KHz时)/15uH(100KHz时),小于3%,效果较理想。

2021-11-07 12:21:46